如果室内产生热量或水蒸气,为了消除余热或余湿所需的全面通风可按下式计算:
(1)消除余热

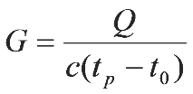
式中,G为全面通风换气量,kg/s;c为空气比热,kJ/(kg·℃),一般取1.01 kJ/(kg·℃);Q为室内余热量,kJ/s;tp为排出空气的温度,℃;t0为进入空气的温度,℃。
(2)消除余湿

式中,W为余湿量,g/s;dp为排出空气的含湿量,g/kg(干空气);d0为进入空气的含湿量,g/kg(干空气)。
根据《工业企业设计卫生标准》GBZ1的规定,当数种溶剂(苯及其同系物,或醇类或醋酸酯类)的蒸汽,或数种刺激性气体(三氧化二硫及三氧化硫,或氟化氢及其盐类等),同时放散于室内空气中时,由于它们对人体的作用是叠加的,全面通风量应按各种气体分别稀释至规定的接触限值所需空气量的总和计算。除上述有害气体及蒸汽外,同时还有其他有害物质放散于空气中时,全面通风量应分别计算稀释各有害物所需的空气量,然后取最大值。[1]
参考资料:
[1] 全国勘察设计注册工程师公用设备专业管理委员会秘书处. 全国勘察设计注册公用设备工程师暖通空调专业考试复习教材(第三版)[M]. 北京: 中国建筑工业出版社, 2012.
X
搜索

