室外气流在遇到建筑物时,由于气流的冲击作用,在建筑物的迎风面将形成一个滞流区,这里的静压高于大气压,处于正压状态。一般情况下,当风向与该平面的夹角大于30°时,便会形成正压区。
室外气流绕流时,在建筑物的顶部和后侧将形成弯曲的循环气流。屋顶上部的涡流区称为回流空腔,建筑物背风面的涡流区称为回旋气流区。这两个区域的静压均低于大气压力,形成负压区,称为空气动力阴影区。空气动力阴影区覆盖着建筑物下风向各表面(如屋顶、两侧外墙和背风面外墙),并延伸一定距离,直至气流尾流区。[1]
空气动力阴影区的最大高度为

式中,A为建筑物迎风面的面积,㎡。
屋顶上方建筑影响的气流最大高度为:

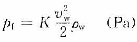
室外气流吹过建筑物时,在建筑物表面形成的空气静压变化成为风压。建筑物外围结构上某一点的风压值可表示为:

式中,K为空气动力系数;vw为室外空气流速,m/s;ρw为室外空气密度,kg/m³。
参考资料:
[1] 朱颖心. 建筑环境学(第三版)[M]. 北京: 中国建筑工业出版社, 2010.8.
X
搜索
