根据地热能交换系统形式的不同,地源热泵系统分为地埋管地源热泵系统、地下水地源热泵系统和地表水地源热泵系统。地埋管换热器是地埋管地源热泵系统的关键组成部分之一,根据管路埋置方式不同,分为水平地埋管换热器、竖直地埋管换热器。

竖直地埋管换热器(vertical ground heat exchanger)是指:换热管路埋置在竖直钻孔内的地埋管换热器,又称竖直土壤热交换器。
一、竖直地埋管换热器钻孔的长度计算宜符合下列要求
1 制冷工况下,竖直地埋管换热器钻孔的长度可按下列公式计算:


式中:Lc——制冷工况下,竖直地埋管换热器所需钻孔的总长度,m;Qc——水源热泵机组的额定冷负荷,kW,EER——水源热泵机组的制冷性能系数;tmax——制冷工况下,地埋管换热器中传热介质的设计平均温度,通常取33~36℃;t∞——埋管区域岩土体的初始温度,℃; Fc——制冷运行份额;Tc1——一个制冷季中水源热泵机组的运行小时数,当运行时间取一个月时,为最热月份水源热泵机组的运行小时数;Tc2——一个制冷季中的小时数,当运行时间取一个月时,为最热月份的小时数。

2、供热工况下,竖直地埋管换热器钻孔的长度可按下列公式计算:


式中:Lh——供热工况下,竖直地埋管换热器所需钻孔的总长度,m;Qh——水源热泵机组的额定热负荷,kW;COP——水源热泵机组的供热性能系数;tmax——供热工况下,地埋管换热器中传热介质的设计平均温度,通常取-2~6℃;Fh——供热运行份额;Th1——一个供热季中水源热泵机组的运行小时数,当运行时间取一个月时,为最冷月份水源热泵机组的运行小时数;Th2——一个供热季中的小时数,当运行时间取一个月时,为最冷月份的小时数。
二、热阻计算宜符合下列要求
1、传热介质与U形管内壁的对流换热热阻可按下式计算:

式中,Rf——传热介质与U形管内壁的对流换热热阻,m·K/W;di——U形管的内径,m;K——传热介质与U形管内壁的对流换热系数,W/(㎡·K)。
2、U形管的管壁热阻可按下列公式计算:


式中,Rpe——U形管的管壁热阻,m·K/W;λp——U形管导热系数,W·m/K;d0——U形管的外径,m;de——U形管的当量直径,m;单U形管n =2,双U形管n =4。

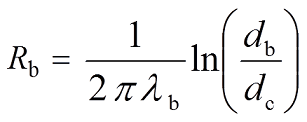
3、钻孔灌浆回填材料的热阻可按下式计算:

式中:Rb——钻孔灌浆回填材料的热阻,m·K/W;λb——灌浆材料导热系数,W·m/K;db——钻孔的直径,m。

4、地层热阻——即从孔壁到无穷远处的热阻可按下列公式计算:
对于单个钻孔:


对于多个钻孔:

式中:Rs——地层热阻,m·K/W;I——指数积分公式,见I(u)函数;λs——岩土体的平均导热系数,W·m/K;α——岩土体的热扩散率,㎡/s;rb——钻孔的半径,m;τ——运行时间,s;xi——第i个钻孔与所计算钻孔之间的距离,m。
注:竖直地埋管换热器埋管深度宜大于20m,钻孔孔径不宜小于0.11m,钻孔间距应满足换热需要,间距宜为3~6m。水平连接管的深度应在冻土层以下0.6m,且距地面不宜小于1.5m。
5、短期连续脉冲负荷引起的附加热阻可按下式计算:

式中:Rsp——短期连续脉冲负荷引起的附加热阻,m·K/W;τp——短期脉冲负荷连续运行的时间,例如8h。
参考资料:
[1] 住建部. 地源热泵系统工程技术规范GB50366-2005(2009年版)[S]. 北京: 中国建筑工业出版社, 2009: 附录B.
搜索

