在房间内横向送出气流的风口称为侧送风口。一般以贴附射流形式出现,工作区通常是回流区,具有射程长、射流温度和速度衰减充分的优点。管道布置简单,施工方便。
在这类风口中,用得最多的是百叶风口。百叶风口中的百叶做成活动可调,既能调风量,也能调方向。为了满足不同调节性能要求,可将百叶做成多层,每层有各自的调节功能。除百叶送风口外,还有格栅送风口和条缝送风口,这两种送风口可以与建筑装饰协调配合。常用侧送风口形式见表3-13。[1]
表3-13 常用侧送风口形式

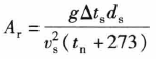
(1)贴附射流的贴附长度主要取决于侧送气流的阿基米德数。为了使射流在整个射程中都贴附在顶棚上而不致中途下落,就需要控制阿基米德数小于一定的数值。
(3-13)
(3-14)
式中:x一一贴附射流的射程(m);Ar——阿基米德数;g一一重力加速度(m/s2);△ts一一送风温差(℃);ds一一圆形送风口的直径,或矩形送风口的等面积当量直径(m);vs一一送风口的出口风速(m/s);tn一一室内空气温度(℃)。
侧送风口安装位置距顶棚越近,越容易贴附。如果送风口上缘离顶棚距离较大时,为了达到贴附目的,规定送风口处应设置向上倾斜10°~20°的导流片。
侧送风口在靠近顶棚300mm 以内水平或轻微向上送风时,送风将贴附顶棚并进入非工作区。当侧送风口位于顶棚以下0.5~1.25 m,在水平射流时,气流在距离送风口一定距离时直接落入工作区。大部分侧壁送风口可以通过设置向上倾斜的导流片等措施调整射流方向,使其朝向顶棚,这样使得射流空气可贴附顶棚传递,保证了工作区的热舒适性。在一些高大空间(如大堂、共享空间等) 应用时,侧送风口与顶棚的距离会大于1.25 m,此时,大部分侧送风口可以通过调整射流方向,使得射流长度调整到较佳工况。
(2)当空调房间内的工艺设备对侧送气流有一定的阻挡,或者单位面积送风量过大,致使空调区的气流速度超出要求范围时,不应采用侧向送风形式。
(3)侧送风口的设置,宜沿房间平面中的短边分布;当房间的进深很长时,宜选择双侧对送,或沿长边布置侧送风口。回风口宜布置在送风口同一侧的下部。
(4)对工艺性空调,当室温允许波动范围≥±1℃时,侧送气流宜贴附;当室温允许波动范围≤±0.5℃时,侧送气流应贴附。
《民用建筑供暖通风与空气调节设计规范》(GB 50736-2012)
7.4.3 采用贴附侧送风时,应符合下列规定。
1. 送风口上缘与顶棚的距离较大时,送风口应设置向上倾斜10°~20°的导流片。
2. 送风口内宜设置防止射流偏斜的导流片。
3. 射流流程中应无阻挡物。
参考资料:
[1] 《民用建筑供暖通风与空气调节设计规范》(GB 50736-2012)
搜索
